Kaedah Pentaksiran Dalam Pdpc





Nota Padat Edup3063 Pentaksiran Dalam Pendidikan

Nota Padat Edup3063 Pentaksiran Dalam Pendidikan

15 Contoh Instrumen Pentaksiran Bilik Darjah Pbd

15 Contoh Instrumen Pentaksiran Bilik Darjah Pbd

Https Www2 Mudahmengajar Com Contoh Evidens Pentaksiran Bilik Darja

Https Www2 Mudahmengajar Com Contoh Evidens Pentaksiran Bilik Darja

Borang Penskoran Pdpc Sekolah

Borang Penskoran Pdpc Sekolah

Doc Aktiviti Pdpc Abad Ke 21 Pak 21 Mem Mm Academia Edu

Doc Aktiviti Pdpc Abad Ke 21 Pak 21 Mem Mm Academia Edu

Pin By Polly On Pak21 Writing Word Search Puzzle Words

Pin By Polly On Pak21 Writing Word Search Puzzle Words

Pin By Polly On Pak21 Writing Word Search Puzzle Words

Mengunakan pelbagai kaedah pentaksiran dalam pdpc ii.

Kaedah pentaksiran dalam pdpc. Pentaksiran bertujuan mendapatkan gambaran tentang prestasi murid dalam pembelajaran menilai aktiviti yang dijalankan semasa pdpc mendapatkan maklumat secara berterusan tentang keberkesanan pdpc memperbaiki serta merancang aktiviti pdpc yang tersusun dan sistematik bersesuaian dengan tahap keupayaan murid. Dalam aktiviti pengajaran dan pembelajaran bahan pengajaran memainkan peranan yang penting. Selain itu satu jumlah calon yang besar dapat diuji pada satu satu masa tertentu. Konsep ciri ciri jenis dan kaedah pentaksiran.

Guru atau murid perlu bergantung sepenuhnya kepada penggunaan bahan murid untuk mencapai objektif pengajaran. Memberi latihan tugasan berkaitan pelajaran iv. Ciri ciri strategi pemusatan bahan 1. Kaedah penulisan merupakan kaedah pentaksiran yang sering digunakan dan ditadbirkan sebagai peperiksaan di sekolah.

Membuat refleksi pdpc v. Peranan dan tujuan pentaksiran dalam pendidikan tujuan pentaksiran 1 keputusan instruksional keputusan instruksional guru sering kali dibuat sebelum semasa dan selepas pdpc. 4 5 1 guru sebagai penilai guru melaksanakan pentaksiran dgn. Ia adalah berdasarkan aspek pengetahuan sedia ada tahap dan pencapaian murid sebelum ini.

Menyemak menilai hasil kerja murid gerak kerja latihan tugasan tahap tindakan. Menjalankan aktiviti pemulihan pengayaan dalam pdpc iii. Merancang pdpc dan kaedah pentaksiran memahami kandungan tajuk dalam dskp menentukan objektif pembelajaran yang perlu dicapai murid dan yang hendak ditaksir guru mengenal pasti kaedah pentaksiran yang sesuai 2. Ini kerana kaedah ini merupakan kaedah yang paling mudah ditadbir dan diuruskan.

Ia mungkin disebabkan oleh kaedah ini memaparkan sesuatu yang baru dan menarik perhatian. Kaedah pentaksiran yang ketiga ialah kaedah penulisan.

Konsep Pentaksiran

Konsep Pentaksiran

Cadangan Ganjaran Reward Untuk Murid Dalam Pdpc Q博士 Rewards

Cadangan Ganjaran Reward Untuk Murid Dalam Pdpc Q博士 Rewards

Prosedur Pelaksanaan Dan Edaran Pps Skpmg2 1 Pages 51 62 Text Version Anyflip

Prosedur Pelaksanaan Dan Edaran Pps Skpmg2 1 Pages 51 62 Text Version Anyflip

Instrumen Pencerapan Pembelajaran Dan Pemudahcaraan Skpmg2

Instrumen Pencerapan Pembelajaran Dan Pemudahcaraan Skpmg2

00 13 Feb2017 Instrumen Skp Mg2 Standard 4

00 13 Feb2017 Instrumen Skp Mg2 Standard 4

Http Journal Kuis Edu My Attarbawiy Wp Content Uploads 2018 12 7 14 Pdf

Http Journal Kuis Edu My Attarbawiy Wp Content Uploads 2018 12 7 14 Pdf

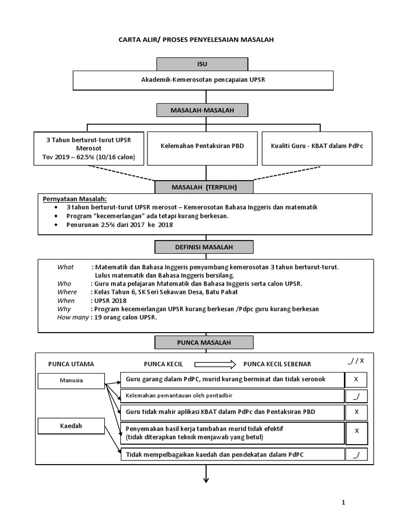
Borang Proses Penyelesaian Masalah Program Santunan 2019 Sk Seri Sekawan Desa Jba0006

Borang Proses Penyelesaian Masalah Program Santunan 2019 Sk Seri Sekawan Desa Jba0006

Abad 21 Learning Note Notes

Abad 21 Learning Note Notes

Standard 4

Standard 4

Panduan Rekabentuk Pdpc Pak21 Pages 1 1 Text Version Anyflip

Panduan Rekabentuk Pdpc Pak21 Pages 1 1 Text Version Anyflip

Garis Panduan Pdp Semasa Pkp Ini Yang Kpm Buat Boleh Jadikan Rujukan Putrajaya Gps Bestari

Garis Panduan Pdp Semasa Pkp Ini Yang Kpm Buat Boleh Jadikan Rujukan Putrajaya Gps Bestari

Standard 4 Guru Sebagai Perancang Pendidik2u

Standard 4 Guru Sebagai Perancang Pendidik2u

Kit Standard 4 Skpmg2 Pages 1 20 Flip Pdf Download Fliphtml5

Kit Standard 4 Skpmg2 Pages 1 20 Flip Pdf Download Fliphtml5

Kaedah Pdpc Prof Dr Zaidatun Tasir

Kaedah Pdpc Prof Dr Zaidatun Tasir

Warning: Use of undefined constant SOURCE_URL - assumed 'SOURCE_URL' (this will throw an Error in a future version of PHP) in C:\laragon\www\blog3\cache\778c10a1ff2cf7cbc7cf4c38b64d89dda7687184.php on line 103
Source : youtube.com